
技术知识
三相异步电动机转速与转矩的关联公式
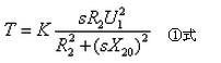
1、转矩公式
东莞电机根据电机学的推导,我们有三相异步电动机的转矩公式:

其中,——常数,与电动机结构有关;
——定子每相输入电压有效值(即电源电压有效值);
——转差率
——转子电阻
——启动时,即时的转子感抗(转子感抗与转子频率有关,而转子频率随起动过程转差率的变化而变化)
2、机械特性曲线
东莞电机根据(①式),在电源电压和转子电阻一定的情况下,转矩—转差率关系曲线和电动机转速—转矩关系曲线如下图。

图1 三相异步电动机机械特性曲线
3、特征转矩
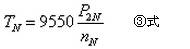
(1)额定转矩
东莞电机经推导,电动机的输出转矩T为:

其中,T2——负载转矩(取决于外力)/N·m;
P2——电动机轴上输出的机械功率/KW;
相应地,额定转矩为额定工作状态下电动机的输出转矩:

其中,P2N——电动机铭牌上标示的额定功率,亦即额定输出机械功率;
nN——额定转速。
(2)最大转矩
机械特性曲线中的Tmax即是最大转矩。当
时,取到Tmax,根据(式1):
由机械特性曲线不难发现,当负载转矩超过最大转矩时,电动机就带不动负载了,发生“闷车”现象,此时电动机电流增大六七倍,严重过热后烧坏。因此,电动机过载应小于最大转矩,且时间尽量短。作为电动机的又一重要参数,设电动机过载系数:
,
对于三相异步电动机而言,过载系数一般取为1.8~2.2。
(3)起动转矩
在机械特性曲线中,n=0,s=1时的转矩为起动转矩,根据(①式),有

更多电机知识尽在东莞电机厂。
标签:  三相异步电动机 东莞电机 异步电动机

